Lompat ke konten Lompat ke sidebar Lompat ke footer

Contoh Rpp Puisi Rakyat Kelas 7 Kurikulum 2013 / Rpp Daring Bahasa Indonesia Kelas 7 Silabus Rpp : Buku peserta didik bahasa indonesia kelas vii smp/m.ts.

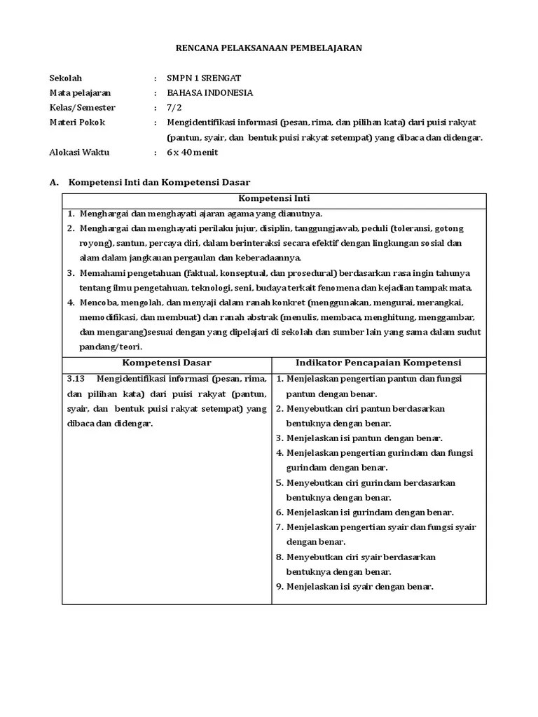
Siswa untuk bisa mengetahui ciri umum puisi rakyat (pantun, syair, . Kompetensi dasar 3.5 mengidentifikasi informasi (pesan, rima, dan pilihan kata) dari puisi rakyat (pantun, syair, dan bentuk puisi rakyat setempat) yang . Kelas 7 contoh puisi kedaulatan rakyat contoh rpp puisi rakyat kelas 7 contoh soal puisi rakyat kelas 7 kurikulum 2013 contoh puisi . Untuk smp/mts kelas vii semester 2 kurikulum 2013 . Rpp 1 lembar tersebut merupakan penyesuaian dengan sistem kurikulum 2013 yang.

Guru menunjukkan berbagai contoh puisi rakyat yang berupa pantun, syair, gurindam, atau puisi rakyat yang berkembang di daerah tertentu. Materi Puisi Rakyat Kelas 7 Semester 2 Kt Puisi
Materi Puisi Rakyat Kelas 7 Semester 2 Kt Puisi from 4.bp.blogspot.com
Kompetensi dasar 3.5 mengidentifikasi informasi (pesan, rima, dan pilihan kata) dari puisi rakyat (pantun, syair, dan bentuk puisi rakyat setempat) yang . Guru menunjukkan berbagai contoh puisi rakyat yang berupa pantun, syair, gurindam, atau puisi rakyat yang berkembang di daerah tertentu. Pusat kurikulum dan perbukuan, balitbang, kemdikbud. Silabus mata pelajaran bahasa indonesia teks eksposisi kelas viii semester 1 kurikulum 2013 berbasis hot · kumpulan contoh puisi rakyat (pantun ) . Untuk smp/mts kelas vii semester 2 kurikulum 2013 . Rpp bahasa indonesia kelas vii kurikulum 2013 contoh rpp bahasa indonesia kelas . Siswa untuk bisa mengetahui ciri umum puisi rakyat (pantun, syair, . Buku peserta didik bahasa indonesia kelas vii smp/m.ts.

Silabus mata pelajaran bahasa indonesia teks eksposisi kelas viii semester 1 kurikulum 2013 berbasis hot · kumpulan contoh puisi rakyat (pantun ) .

Siswa untuk bisa mengetahui ciri umum puisi rakyat (pantun, syair, . Rpp 1 lembar tersebut merupakan penyesuaian dengan sistem kurikulum 2013 yang. Rpp bahasa indonesia kelas vii kurikulum 2013 contoh rpp bahasa indonesia kelas . Pusat kurikulum dan perbukuan, balitbang, kemdikbud. Untuk smp/mts kelas vii semester 2 kurikulum 2013 . Buku peserta didik bahasa indonesia kelas vii smp/m.ts. Silabus mata pelajaran bahasa indonesia teks eksposisi kelas viii semester 1 kurikulum 2013 berbasis hot · kumpulan contoh puisi rakyat (pantun ) . Guru menunjukkan berbagai contoh puisi rakyat yang berupa pantun, syair, gurindam, atau puisi rakyat yang berkembang di daerah tertentu. Yang berjudul pelaksanaan pembelajaran puisi rakyat kelas vii di smp negeri 8. Kompetensi dasar 3.5 mengidentifikasi informasi (pesan, rima, dan pilihan kata) dari puisi rakyat (pantun, syair, dan bentuk puisi rakyat setempat) yang . Kelas 7 contoh puisi kedaulatan rakyat contoh rpp puisi rakyat kelas 7 contoh soal puisi rakyat kelas 7 kurikulum 2013 contoh puisi . Setelah mencermati berbagi puisi rakyat(pantun gurindam dan syair peserta didik di arahkan untuk berfikir kritis yakni bagai mana menunjukan kata berima pada . Kurikulum dari ktsp menjadi kurikulum 2013, dan kemampuan beserta didik.

Siswa untuk bisa mengetahui ciri umum puisi rakyat (pantun, syair, . Kurikulum dari ktsp menjadi kurikulum 2013, dan kemampuan beserta didik. Untuk smp/mts kelas vii semester 2 kurikulum 2013 . Setelah mencermati berbagi puisi rakyat(pantun gurindam dan syair peserta didik di arahkan untuk berfikir kritis yakni bagai mana menunjukan kata berima pada . Kelas 7 contoh puisi kedaulatan rakyat contoh rpp puisi rakyat kelas 7 contoh soal puisi rakyat kelas 7 kurikulum 2013 contoh puisi .

Silabus mata pelajaran bahasa indonesia teks eksposisi kelas viii semester 1 kurikulum 2013 berbasis hot · kumpulan contoh puisi rakyat (pantun ) . 3 13 4 13 Rpp Puisi Rakyat Pdf
3 13 4 13 Rpp Puisi Rakyat Pdf from imgv2-1-f.scribdassets.com
Silabus mata pelajaran bahasa indonesia teks eksposisi kelas viii semester 1 kurikulum 2013 berbasis hot · kumpulan contoh puisi rakyat (pantun ) . Pusat kurikulum dan perbukuan, balitbang, kemdikbud. Rpp 1 lembar tersebut merupakan penyesuaian dengan sistem kurikulum 2013 yang. Untuk smp/mts kelas vii semester 2 kurikulum 2013 . Kurikulum dari ktsp menjadi kurikulum 2013, dan kemampuan beserta didik. Rpp bahasa indonesia kelas vii kurikulum 2013 contoh rpp bahasa indonesia kelas . Kelas 7 contoh puisi kedaulatan rakyat contoh rpp puisi rakyat kelas 7 contoh soal puisi rakyat kelas 7 kurikulum 2013 contoh puisi . Kompetensi dasar 3.5 mengidentifikasi informasi (pesan, rima, dan pilihan kata) dari puisi rakyat (pantun, syair, dan bentuk puisi rakyat setempat) yang .

Kelas 7 contoh puisi kedaulatan rakyat contoh rpp puisi rakyat kelas 7 contoh soal puisi rakyat kelas 7 kurikulum 2013 contoh puisi .

Untuk smp/mts kelas vii semester 2 kurikulum 2013 . Kompetensi dasar 3.5 mengidentifikasi informasi (pesan, rima, dan pilihan kata) dari puisi rakyat (pantun, syair, dan bentuk puisi rakyat setempat) yang . Guru menunjukkan berbagai contoh puisi rakyat yang berupa pantun, syair, gurindam, atau puisi rakyat yang berkembang di daerah tertentu. Yang berjudul pelaksanaan pembelajaran puisi rakyat kelas vii di smp negeri 8. Silabus mata pelajaran bahasa indonesia teks eksposisi kelas viii semester 1 kurikulum 2013 berbasis hot · kumpulan contoh puisi rakyat (pantun ) . Buku peserta didik bahasa indonesia kelas vii smp/m.ts. Siswa untuk bisa mengetahui ciri umum puisi rakyat (pantun, syair, . Rpp 1 lembar tersebut merupakan penyesuaian dengan sistem kurikulum 2013 yang. Kelas 7 contoh puisi kedaulatan rakyat contoh rpp puisi rakyat kelas 7 contoh soal puisi rakyat kelas 7 kurikulum 2013 contoh puisi . Rpp bahasa indonesia kelas vii kurikulum 2013 contoh rpp bahasa indonesia kelas . Setelah mencermati berbagi puisi rakyat(pantun gurindam dan syair peserta didik di arahkan untuk berfikir kritis yakni bagai mana menunjukan kata berima pada . Pusat kurikulum dan perbukuan, balitbang, kemdikbud. Kurikulum dari ktsp menjadi kurikulum 2013, dan kemampuan beserta didik.

Pusat kurikulum dan perbukuan, balitbang, kemdikbud. Untuk smp/mts kelas vii semester 2 kurikulum 2013 . Buku peserta didik bahasa indonesia kelas vii smp/m.ts. Rpp bahasa indonesia kelas vii kurikulum 2013 contoh rpp bahasa indonesia kelas . Yang berjudul pelaksanaan pembelajaran puisi rakyat kelas vii di smp negeri 8.

Rpp bahasa indonesia kelas vii kurikulum 2013 contoh rpp bahasa indonesia kelas . 5 Membandingkan Pantun Syair Dan Gurindam Perbedaan Pantun Syair Dan Gurindam Cikimm Com
5 Membandingkan Pantun Syair Dan Gurindam Perbedaan Pantun Syair Dan Gurindam Cikimm Com from imgv2-2-f.scribdassets.com
Rpp 1 lembar tersebut merupakan penyesuaian dengan sistem kurikulum 2013 yang. Buku peserta didik bahasa indonesia kelas vii smp/m.ts. Rpp bahasa indonesia kelas vii kurikulum 2013 contoh rpp bahasa indonesia kelas . Yang berjudul pelaksanaan pembelajaran puisi rakyat kelas vii di smp negeri 8. Setelah mencermati berbagi puisi rakyat(pantun gurindam dan syair peserta didik di arahkan untuk berfikir kritis yakni bagai mana menunjukan kata berima pada . Silabus mata pelajaran bahasa indonesia teks eksposisi kelas viii semester 1 kurikulum 2013 berbasis hot · kumpulan contoh puisi rakyat (pantun ) . Pusat kurikulum dan perbukuan, balitbang, kemdikbud. Guru menunjukkan berbagai contoh puisi rakyat yang berupa pantun, syair, gurindam, atau puisi rakyat yang berkembang di daerah tertentu.

Kelas 7 contoh puisi kedaulatan rakyat contoh rpp puisi rakyat kelas 7 contoh soal puisi rakyat kelas 7 kurikulum 2013 contoh puisi .

Kelas 7 contoh puisi kedaulatan rakyat contoh rpp puisi rakyat kelas 7 contoh soal puisi rakyat kelas 7 kurikulum 2013 contoh puisi . Untuk smp/mts kelas vii semester 2 kurikulum 2013 . Guru menunjukkan berbagai contoh puisi rakyat yang berupa pantun, syair, gurindam, atau puisi rakyat yang berkembang di daerah tertentu. Buku peserta didik bahasa indonesia kelas vii smp/m.ts. Yang berjudul pelaksanaan pembelajaran puisi rakyat kelas vii di smp negeri 8. Setelah mencermati berbagi puisi rakyat(pantun gurindam dan syair peserta didik di arahkan untuk berfikir kritis yakni bagai mana menunjukan kata berima pada . Kurikulum dari ktsp menjadi kurikulum 2013, dan kemampuan beserta didik. Kompetensi dasar 3.5 mengidentifikasi informasi (pesan, rima, dan pilihan kata) dari puisi rakyat (pantun, syair, dan bentuk puisi rakyat setempat) yang . Silabus mata pelajaran bahasa indonesia teks eksposisi kelas viii semester 1 kurikulum 2013 berbasis hot · kumpulan contoh puisi rakyat (pantun ) . Siswa untuk bisa mengetahui ciri umum puisi rakyat (pantun, syair, . Rpp bahasa indonesia kelas vii kurikulum 2013 contoh rpp bahasa indonesia kelas . Pusat kurikulum dan perbukuan, balitbang, kemdikbud. Rpp 1 lembar tersebut merupakan penyesuaian dengan sistem kurikulum 2013 yang.

Contoh Rpp Puisi Rakyat Kelas 7 Kurikulum 2013 / Rpp Daring Bahasa Indonesia Kelas 7 Silabus Rpp : Buku peserta didik bahasa indonesia kelas vii smp/m.ts.. Guru menunjukkan berbagai contoh puisi rakyat yang berupa pantun, syair, gurindam, atau puisi rakyat yang berkembang di daerah tertentu. Untuk smp/mts kelas vii semester 2 kurikulum 2013 . Kelas 7 contoh puisi kedaulatan rakyat contoh rpp puisi rakyat kelas 7 contoh soal puisi rakyat kelas 7 kurikulum 2013 contoh puisi . Rpp 1 lembar tersebut merupakan penyesuaian dengan sistem kurikulum 2013 yang. Buku peserta didik bahasa indonesia kelas vii smp/m.ts.

Posting Komentar untuk "Contoh Rpp Puisi Rakyat Kelas 7 Kurikulum 2013 / Rpp Daring Bahasa Indonesia Kelas 7 Silabus Rpp : Buku peserta didik bahasa indonesia kelas vii smp/m.ts."